Cell Metabolism | PCK1類泛素化可以調控葡萄糖代謝
瀏覽次數:335 日期:2023-09-21 16:15:21

葡萄糖是細胞能量的主要來源,它是維持生命活動所必需的主要能量來源之一,而且其血液水平需要保持穩定的值。這是為了確保細胞獲得足夠的能量以支持正常功能。一旦機體無法攝入能量,肝臟就會在維持葡萄糖平衡方面發揮著關鍵作用,它通過動員內部營養儲備和從非碳水化合物前體產生葡萄糖(糖異生gluconeogenesis)來給機體供能。
類泛素化是在翻譯后增加泛素樣蛋白,它與多個肝臟生理學過程有關,是蛋白質調控的重要機制。由于肝臟在維持血糖平衡中起著關鍵作用,由此引出一個問題,即neddylation是否參與了葡萄糖產生對營養可用性的適應過程。西班牙衛生研究所Ruben Nogueiras和西班牙生物醫學研究中心Maria L. Martinez-Chantar研究組發表了新的文章--Neddylation of phosphoenolpyruvate carboxykinase 1 controls glucose metabolism,即磷酸烯醇丙酮酸羧激酶1 (PCK1)類泛素化控制葡萄糖代謝。該項研究成果發表在2023年8月3日出版的《Cell Metabolism》上。

圖1. PCK1在葡萄糖合成中的作用
了解肝臟內源性neddylation在葡萄糖代謝中的生理作用。他們使用了四種小鼠模型,采用藥物抑制、基因敲除等方法干擾neddylation,然后通過丙酮酸耐受試驗(PTT)來評估葡萄糖產生情況。
CUSABIO助力科研:

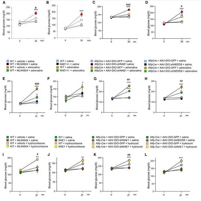
實驗結果顯示,肝臟neddylation受干擾的四種小鼠模型在丙酮酸耐受試驗中都表現出較低的血糖水平,為進一步研究neddylation在肝臟新生葡萄糖生成中的具體作用并避免糖原分解對HGP的影響,研究中的所有后續實驗設計都包括小鼠經過24小時禁食或經過為期4天的60%熱量限制飲食,以在肝臟糖原庫被消耗的生理條件下進行研究。禁食和限制熱量的肝臟Nae1敲除小鼠表現出與對照小鼠相比降低的HGP,這直接反映了葡萄糖異生的受損,且和性別無關。
另外,經過測量兩種neddylation受干擾模型中肝臟內關鍵的葡萄糖異生酶和乙酰輔酶A(acetyl-CoA)的蛋白質水平,發現在禁食和限制熱量攝入的情況下,葡萄糖異生酶的蛋白質水平升高。然而,在藥物抑制neddylation的小鼠和敲除NAE1基因的小鼠中,這些蛋白質水平沒有顯著差異,表明neddylation的抑制不影響這些關鍵酶的蛋白質水平,所導致的葡萄糖產生減少不依賴于氨基酸的可用性。(圖2)

圖2. 泛素化對于對抗性激素的糖異生作用是必需的(E:給處理后的野生型小鼠(WT)腹腔注射生理鹽水或腎上腺素,觀察血糖水平的變化。使用武漢華美生物CUSABIO提供的Adrenaline ELISA KIT進行驗證)
本文作者研究表明,肝臟neddylation受到營養可用性的調控,而抑制肝臟neddylation會減輕禁食或熱量限制時的肝臟葡萄糖產生(HGP),降低糖異生能力。肝臟neddylation受到破壞的小鼠不會表現出對胰島素拮抗激素(腎上腺素、腎上腺素和糖皮質激素)的預期高血糖作用。在2型糖尿病患者中,肝臟中的NAE1和NEDD8水平升高,并與禁食時的血糖呈正相關。從機理上講,磷酸烯醇丙酮酸羧激酶(PCK1)被檢測到在三個賴氨酸殘基(K278、K342和K387)上發生neddylation,突變PCK1的外源表達無法誘導肝細胞或小鼠的葡萄糖產生。這意味著neddylation調控了PCK1的糖異生活性,這對于全身葡萄糖平衡具有生物學上的重要意義。
產品信息:
Mouse Epinephrine/Adrenaline,EPI ELISA Kit CSB-E08679m
除文中提及的在多個生理過程中起著關鍵作用的腎上腺素,激素在維持正常生理功能中也至關重要,它們的不平衡或異常活動可能導致各種疾病的發生和發展。如胰島素和胰高血糖素對血糖水平的調節在糖尿病等代謝疾病中起著關鍵作用。胰島素不足導致糖尿病,而胰高血糖素過多則可能引發低血糖癥。腎上腺素和去甲腎上腺素等激素可以影響心血管系統的功能,某些激素如雌激素和睪丸激素與乳腺癌、前列腺癌等癌癥的發展密切相關。
華美生物提供17個種屬的192種激素檢測試劑盒,協助您進行相關研究。想要了解更多?請點擊 了解激素:預防和治療多種疾病的關鍵






